BÁCH BỘ

Tên khoa học của cây bách bộ: Stemona tuberosa Lour., Họ Bách Bộ -Stemonaceae
Tên khác: Dây Ba Mươi, Đẹt Ác, Bẳn Sam, Síp (Thái), Chầu Chàng (H’mông), Robat Tơhai, Hiungui (Giarai), Sam Sip lạc (Tày).

Đặc điểm thực vật

Cây: Dây leo, sống nhiều năm, có thân mảnh, nhẵn, dài đến 6-8m, ở gốc có nhiều rễ củ, nhiều nạc mọc thành chùm, 10-20 hoặc 30 củ (Củ ba mươi), có khi tới gần một trăm củ, dài 15-20cm, rộng 1,5-2cm.
Lá mọc đối hay so le, giống lá Củ nâu, phiến lá hình tim,có khi thuôn dài nhưng đặc biệt có hệ gồm 10-12 gân ngang  nhỏ dày song song với các gân chính hình cung chạy dọc từ cuống lá đến ngọn lá.
Hoa mọc ở kẽ lá, gồm 1-2 hoa to ,cuống dài 2-4cm, mặt ngoài màu vàng lục, mặt trong màu đỏ tiá, có mùi thối; 4 nhị dài 4-5cm, chỉ nhị ngắn. Bao hoa gồm 4 phận, 4 nhụy giống nhau. Bầu hình nón, quả nặng có 4 hạt, ra hoa vào mùa hè  
Quả nang chứa nhiều hạt.

Phân bố

Cây mọc hoang nhiều ở vùng rừng núi nước ta: Hòa Bình, Phú Tho, Bắc Giang,Thanh Hóa ….
Ngoài ra còn mọc ở Ấn độ, Trung Quốc, Nhật Bản,Austraylia, Malaysia… Ở Trung Quốc vị thuốc Bách bộ còn được khai thác từ các loài S. japonica Miq., S.sessilifolia (Miq.) Franch. et Savat

Thu hái, chế biến

Mùa thu đông, người ta đào củ về rửa sạch để nguyên củ hoặc bổ đôi đem phơi hay sấy khô.

Bộ phận dùng

Rễ củ đã chế biến khô của cây Bách bộ (Radix Stemonae).
Củ thường cong queo, bổ đôi hay để nguyên, dài 5cm trở lên, rộng trên 0,5cm đầu trên hơi phình to, đầu dưới thuôn nhỏ. Mặt ngoài màu vàng nâu, có nhiều nếp nhăn. Mặt cắt ngang mô mềm vỏ dày, trụ giữa cứng. Vị đắng, hơi ngọt.

Vi phẫu

Mặt cắt rễ củ tròn. Từ ngoài vào trong có: Lớp bần cấu tạo bởi những tế bào thành dày hoá gỗ. Mô mềm vỏ các tế bào to, nhỏ không đều, thành mỏng, xếp lộn xộn, rải rác có sợi hình đa giác, tròn và những tinh thể calci oxalat cầu gai nhỏ.Nội bì cấu tạo bởi một lớp tế bào hình chữ nhật xếp đều đặn. Vỏ trụ là một lớp tế bào hình chữ nhật xếp xen kẽ với các tế bào nội bì. Libe các tế bào nhỏ tập hợp thành các bó xếp sát vỏ trụ, xen kẽ với những bó gỗ. Các bó gỗ cấu tạo bởi những mạch gỗ to, nhỏ, xếp tuần tự thành hình tam giác đầu nhọn quay ra ngoài sát với vỏ trụ, ở phía trong gỗ liền nhau thành vòng tròn. Mô mềm ruột các tế bào thành mỏng, to, nhỏ không đều, kích thước nhỏ hơn tế bào mô mềm vỏ, xếp lộn xộn. Trong mô mềm ruột rải rác có các mạch gỗ lớn.

Bột dược liệu

Bột màu xám không mùi, vị đắng, nhìn dưới kính hiển vi thấy: Mảnh bần màu vàng gồm các tế bào hình nhiều cạnh, thành dày. Mảnh mô mềm thành tế bào mỏng có khi chứa hạt tinh bột. Hạt tinh bột kích thước khoảng 0,02-0,03mm có rốn hạt và vân khá rõ, riêng lẻ hay tập trung thành đám. Mảnh mạch thường là mảnh mạch chấm, mạch vạch. Sợi dài, có thành hơi dày, khoang rộng.
Thành phần hoá học
Trong rễ củ Bách bộ (Stemona tuberosa) mọc ở Việt Nam có nhiều alcaloid khác nhau (0,50-0,60%), trong đó alcaloid chính là tuberostemonin LG, còn có 8 vết hiện màu với thuốc thử Dragendorff trên sắc ký lớp mỏng nhưng chưa phân lập được để xác định cấu trúc hóa học.
Ngoài ra trong rễ củ còn có glucid (2,3%), lipid (0,84%), protid (9,25%) và acid hữu cơ (acid citric, malic, oxalat…).
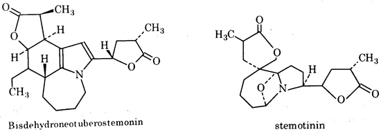
Một số tác giả Nhật Bản và Trung Quốc đã xác định trong rễ của loài Stemonatuberosa Lour. có các alcaloid: tuberostemonin (C22H23O4N), neotuberostemonin, oxotuberostemonin (C22H31O5N), stenin (C17H22O2N), stemotinin (C18H25O5N), isostemotinin (C18H25O5N), tuberostemoninol (C22H34O6N), bisdehydro-neotuberostemonin.

tuberostemonin
bisdehydro-neotuberostemonin

Tác dụng và công dụng

– Dịch chiết rễ bách bộ, alcaloid toàn phần và tuberostemonin LG đều có biểu hiện không độc ở liều thí nghiệm (165g rễ, 750mg alcaloid toàn phần, 1875mg tuberostemonin LG/1kg thể trọng chuột nhắt trắng).
– Dịch chiết rễ bách bộ, alcaloid toàn phần và tuberostemonin LG đều có tác dụng giảm ho, long đờm rõ rệt.
– Dịch chiết rễ bách bộ 2/1 làm giảm hoạt động của giun đũa lợn, dung dịch tuberostemonin LG 0,15% làm liệt hoàn toàn và chết giun đũa lợn sau 3 giờ.
– Tuberostemonin LG có tác dụng ức chế một số vi khuẩn như Bacillus subtilis, Bacillus pumilus, Bacillus cereus, Staphylococcus aureus, Klebsiella.
Bách bộ được dùng làm thuốc trị ho, ngày uống 6 – 20g dưới dạng thuốc sắc hoặc nấu thành cao. Thường dùng phối hợp với một số vị thuốc khác.
Trị giun đũa: Ngày uống 7 – 10g dưới dạng thuốc sắc, uống 5 ngày liền vào buổi sáng lúc đói, sau uống thuốc tẩy.
Trị giun kim: Bách bộ tươi 40g (hoặc 20g bách bộ khô) đun với 200ml nước, cô còn lại 30ml thụt giữ 20 phút. Điều trị liền trong 10 – 12 ngày.
Ngoài ra, bách bộ còn được dùng để trừ chấy, rận, bọ chó.. cho súc vật.
https://hoibacsy.vn 

TÀI LIỆU THAM KHẢO

Bộ môn dược liệu (2011), “Bài giảng dược liệu”, tập I. Trường đại học Dược Hà Nội
Bộ môn dược liệu (1998), “Bài giảng dược liệu”, tập II. Trường đại học Dược Hà Nội.
Đỗ Tất Lợi (2004), “Những cây thuốc và vị thuốc Việt Nam”, Nhà xuất bản Y học.
Viện dược liệu (2004), “Cây thuốc và động vật làm thuốc ở Việt Nam”, tập I, Nhà xuất bản khoa hoc kỹ thuật.
Viện Dược liệu (2004), “Cây thuốc và động vật làm thuốc Việt Nam”, tập II, Nhà xuất bản Khoa học kỹ thuật.

0/50 ratings
Bình luận đóng