BÌNH VÔI
Bình vôi là tên gọi của nhiều loài cây là dây leo có rễ củ thuộc chi Stephania, họ Tiết dê – Menispermaceae. Cây Bình vôi còn gọi là cây củ một, củ mối tròn, dây mối trơn, gà ấp…
Chi Stephania có khoảng trên 45 loài. Một số loài công bố ở Việt Nam: Stephania glabra (Roxb) Miers, S. kuinanensis H. S. Lo et M. Yang, S. pierrei Diels, S. excentrica H. S. Lo, S. hainanensis H. S. Lo et Y Tsoong, S. kwangsiensis H. S. Lo, S. sinica Diels. S. viridiflavens H. S. Lo et M.Yang (S. rotunda Lour Cho tới nay vẫn chưa tìm lại được, nhiều tác giả cho rằng loài này không rõ ràng).
Đặc điểm thực vật
– Loài Stephania glabra (Roxb) Miers: Thân leo, phát triển từ củ hình tròn, củ thường nằm ở khe đá, vỏ củ có các nốt sần, đôi khi có những rãnh nhỏ ngang dọc. Nhựa từ thân và lá không mang màu. Lá đơn, mọc so le, mép lá nguyên, đôi khi hơi chia thuỳ phần ngọn lá. Toàn thân và lá không có lông. Cuống lá dài 6 – 25 cm, gốc hơi phình lên và cong. Phiến lá hình tim, ngọn lá thuôn nhọn, mặt dưới xanh lợt. Lá có 9 – 11 gân xếp toả tròn do cuống lá dính vào 1/3 phiến lá tính từ gốc lá.
Cụm hoa đực dạng tán kép, cuống cụm hoa dài 3 – 12 cm, mỗi cuống cụm hoa gồm nhiều tán cấp II, mỗi cuống tán cấp II mang 4 tán cấp III, kết thúc gồm 3 hoa với cuống của mỗi hoa rất ngắn. Hoa đực gồm 6 đài rời xếp thành 3 vòng (3 + 3) kích thước gần như bằng nhau. Đài hình trứng hẹp, chiều dài 1,5 mm. Ba cánh hoa hình trứng màu xanh khi còn trong nụ và chuyển màu vàng khi hoa nở. Bộ nhị hàn liền thành 1 trụ với 6 bao phấn màu vàng nhạt xếp thành vòng tròn, trên 1 trụ do chỉ nhị hàn liền tạo thành cột ngắn 0,5 – 1 mm. Khi hoa nở, các bao phấn mở nắp ngang ra xung quanh. Hạt phấn nhỏ màu vàng.
Cụm hoa cái dạng xim tán, cuống các bông hoa rất ngắn nên các bông hoa xếp sít vào nhau thành dạng đầu. Mỗi đầu gồm 20 – 70 bông hoa (sau cho 20 – 70 quả). Cuống cụm hoa dài 2 – 5 cm. Hoa cái bất đối xứng. Mỗi hoa có 1 lá đài hình elip dài 1mm. Hai cánh hoa gần như tròn, đường kính 1 – 1,2 mm 1 đài và 2 cánh hoa xếp lệch về 1 phía của hoa. Bầu hình trứng, núm nhuỵ chia 4 – 5 thuỳ dạng gai nhỏ và hầu như không có vòi nhuỵ. Quả hạch hình trứng ngược dài 5 – 6 mm, rộng 4 – 5 mm. Vỏ quả ngoài nhẵn, lúc non màu xanh, chuyển sang màu vàng rồi đỏ sẫm khi chín. Hạt hình trứng ngược cụt 1 đầu, vỏ hạch cứng chia nhiều vạch (17 – 20 vạch). Giá noãn có lỗ thủng ở giữa.
Mùa hoa : tháng 2 – 4, mùa quả : tháng 5 – 6.
– Loài Stephania kuinanensis H. S. Lo et M. Yang
Thân leo dài 2 – 3 m, củ tròn, bề mặt vỏ củ có nhiều nốt sần. Toàn cây không có lông, lá có cuống, phiến lá dạng tam giác, chóp lá nhọn, gốc lá thay đổi từ từ đến gần bằng, ít khi hơi lõm, nông và rộng. Gân chính 9 – 10 chiếc, xếp dạng chân vịt, hệ gân phụ dạng mạng rõ.
Cụm hoa đực xim tán kép mọc ở nách lá, cuống cụm hoa dạng sợi nhỏ dài 1 – 3,5 cm. Đỉnh cuống cụm hoa có 6 – 7 cuống tán giả (xim tán) dài 0,6 – 0,8 cm. Gốc mỗi cuống tán giả có 1 lá bắc hình mác nhỏ dạng vạch. Mỗi tán giả có 5 – 6 xim nhỏ. Mỗi xim nhỏ có 5 – 6 hoa. Hoa đực nhỏ, có cuống ngắn 0,5 mm, có 6 lá đài xếp 2 vòng, 3 lá đài vòng ngoài hình mác đảo hẹp dài khoảng 1mm, rộng 0,3 mm, 3 lá đài vòng trong hình thìa dài khoảng 1,5 mm, rộng 0,5 mm, 3 cánh hoa hình quạt gần tròn, cong lõm đều, cao khoảng 0,8 – 1 mm, rộng 1 – 1,5 mm, phía trong gốc cánh hoa có 2 tuyến. Nhị đính thành cột ngắn, bao phấn dính liền thành đĩa, nứt ngang.
Cụm hoa cái gần dạng đầu có cuống dạng sợi nhỏ dài 1 – 1,5 cm. Đỉnh cuống cụm hoa có 6 – 7 xim nhỏ. Ở gốc mỗi xim nhỏ có 1 phiến lá bắc dạng gai nhỏ, mềm. Mỗi xim nhỏ có 6 hoa. Hoa cái nhỏ, gần như không cuống, có 1 lá đài hình trứng ngược cao 1 – 1,5 mm, rộng 0,5 – 0,7 mm. Hai cánh hoa gần tròn, cong dạng vỏ hến, đường kính 1,5 mm. Bầu hình trứng, đường kính 4 – 5 mm, núm nhuỵ có 5 thuỳ dạng gai nhỏ mềm ngả ra phía ngoài. Chùm quả nhỏ, ít quả. Quả hạch hình trứng ngược, khi chín màu hồng. Vỏ quả trong hình trứng ngược, dài 5,5 – 6,5 mm. Trên lưng có 2 hàng vân ngang dạng trụ. Hai đầu trụ tù tròn, tạo thành 4 hàng vân hạt trên lưng vỏ quả trong. Giá noãn có lỗ.
Mùa hoa : tháng 3 – 5, mùa quả : tháng 6 – 7.
– Stephania pierrei Diels
Ngọn hoa có nhiều chấm màu tím hồng. Lá có kích thước nhỏ hơn tất cả các loài khác. Hoa đực không có cánh hoa.
– Stephania hainanensis H.S. Lo et Y. Tsoong
Cành non và cuống lá có dịch màu trắng hoặc vàng nhạt.
– Stephania cambodiana Gagnep.
Cuống cụm hoa và cuống tán giả dài hơn so với các loài khác.
– Stephania dielsiana Y. C. Wu
Nửa cuống lá phía đính vào phiến lá và gân lá mặt saucó màu tím hay tím hồng.
– Stephania excentrica H. S. Lo
Cuống lá rất dài, có khi đến 14 cm. Giá noãn có lỗ lệch 1 bên.
– Stephania cepharantha Hay
Giá noãn không có lỗ.
– Stephania sinica Diels
Giá noãn không có lỗ.
– Stephania viridiflavens H. S. Lo et Yang
Lá có phiến hình tam giác, cuống lá bằng hoặc dài hơn phiến lá.
Phân bố, trồng hái và chế biến
Các loài bình vôi ở nước ta phân bố khá rộng trên cả 3 miền Bắc, Trung, Nam. Thường gặp ở các vùng núi đá vôi: Tuyên Quang, Hoà Bình, Cao Bằng, Thanh Hoá, Lâm Đồng, Bà Rịa – Vũng Tàu… Một số loài thường chỉ gặp ở các vùng núi đất và biển như S. pierrei, S. brachyandra, S. haianensis. Riêng loài S. pierrei Diels tập trung chủ yếu ở các tỉnh ven biển Bình Định, Phú Yên, Ninh Thuận.
Hiện nay ta đang thu hái củ Bình vôi chủ yếu từ nguồn mọc hoang. Khi thu về đem cạo sạch vỏ nâu đen, thái lát mỏng đem phơi hoặc sấy khô hoặc đem chiết lấy 1 – tetrahydropalmatin.
Có thể trồng bằng hạt. Thu hái quả chín, sấy lấy hạt đem gieo. Ngoài ươm cây giống bằng hạt có thể lấy các đoạn thân cây hoặc cắt phần đầu của củ đem trồng.
1. Bộ phận dùng và thành phần hoá học
Bộ phận dùng : Củ (Tuber Stephania) đã cạo sạch vỏ nâu đen.
Trong củ bình vôi có alcaloid. Các loài cây Bình vôi ta đang khai thác có alcaloid chính là L – tetrahydropalmatin. Hàm lượng alcaloid toàn phần cũng như L – tetrahydropalmatin (= Rotundin) thay đổi tuỳ theo loài và vùng thu hái.
Theo Bùi Thị Hằng, hàm lượng L – tetrahydropalmatin đạt 3,55% ở loài S. brachyandra Diels (thu hái ở Hoàng Liên Sơn), 1,31% ở loài S. sinica Diels (thu hái ở Hà Nam Ninh), 1,30% ở loài S. kwangsinensis H. S. Lo (thu ở Quảng Ninh), 0,72% ở loài S. hainanensis H. S. Lo et Y. Tsoong (thu ở Thanh Hóa), 0,62% loài S. cambodiana Gagnep (thu ở Lâm Đồng), 0,29% ở loài S. cepharantha Hay (thu ở Hà Sơn Bình), 0,21% ở loài S. pierrei Diels (thu ở Tây Nguyên).
Theo Nguyễn Tiến Vững, Phạm Thanh Kỳ, S. glabra (Roxb.) Miers thu hái ở Ninh Bình có 2,96% alcaloid toàn phần, 0,59% L – tetrahydropalmatin ; loài S. kuinanensis H. S. Lo et Mu Yang thu hái ở Lạng Sơn có 4,41% alcaloid toàn phần và 3,06% 1 – tetrahydropalmatin.
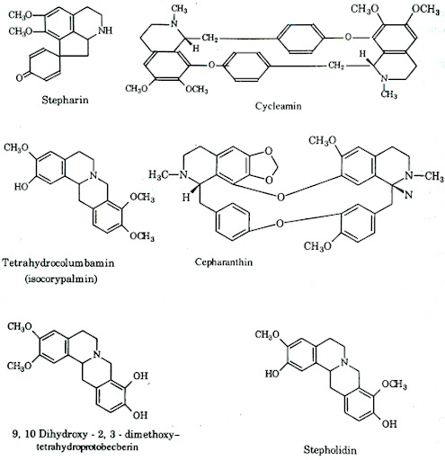
Năm 1941, Bùi Đình Sang chiết từ củ Bình vôi một hỗn hợp alcaloid, trong đó chủ yếu là L – tetrahydropalmatin gọi là Rotundin. Năm 1964, Ngô Văn Thu chiết được L alcaloid khác từ củ Bình vôi gọi tên là alcaloid A. Đến năm 1971, Nuhn và Ngô Văn Thu đã xác định alcaloid A là roemerin. Năm 1992 Ngô Thị Tâm đã chiết được cepharanthin từ loài S. pierrei mọc ở Nghĩa Bình. Năm 1997 – 1999, Nguyễn Tiến Vững, Phạm Thanh Kỳ đã phân lập được L – tetrahydropalmatin roemerin, palmatin từ loài S. glabra mọc ở Ninh Bình và L – tetrahydropalmatin, stepharin từ củ loài S. kuinanensis mọc ở Lạng Sơn; cycleanin từ loài bình vôi thu hái được ở Quảng Ninh. Năm 1999, Nguyễn Thị Hoài An đã phân lập được 3 alcaloid từ củ bình vôi mọc ở Mộc Châu (Sơn La) là : 9, 10 – dihydroxy ; 2, 3 – dimethoxy tetrahydro – protoberberin, stepholidin, tetrahydrocolumbamin.
Ngoài alcaloid, trong củ Bình vôi còn có tinh bột, đường và acid hữu cơ.
Tác dụng dược lý
– L – tetrahydropalmatin có tác dụng an thần, gây ngủ, hạ nhiệt, hạ huyết áp, kéo dài thời gian ngủ của các thuốc ngủ barbituric trên súc vật thí nghiệm. Với liều cao có tác dụng chống co giật do corasol, strychnin và sốc điện gây nên. Liều LD50 trên chuột là 1,208g/kg trọng lượng.
– Roemerin có tác dụng gây tê niêm mạc và phong bế. Đối với tim ếch cô lập, roemerin có tác dụng ức chế, giảm biên độ và tần số co bóp, với liều cao tim ếch ngừng đập ở thời kỳ tâm trương. Roemerin đối kháng với tác dụng tăng co bóp ruột của acetylcholin. Đối với hệ thần kinh trung ương với liều thấp, roemerin có tác dụng an thần gây ngủ, liều cao kích thích gây co giật dẫn đến tử vong. Roemerin còn có tác dụng giãn mạch, hạ huyết áp. Liều LD50 trên chuột là 0,125 g/kg tương đương với liều độc của cocain hydroclorid.
– Cepharanthin: Theo kết quả nghiên cứu của các nhà khoa học Nhật Bản, cepharanthin có tác dụng giãn mạch nhẹ trên những mạch vi tuần hoàn, có tác dụng tăng cường sản sinh kháng thể nên có tác dụng rõ rệt đối với bệnh giảm bạch cầu do bệnh nhân bị nhiễm xạ bởi bom nguyên tử, do chiếu tia phóng xạ, do dùng thuốc chống ung thư. Sự biến động số lượng hồng cầu hoặc sắc tố máu hầu như không có thay đổi khi dùng cepharanthin. Tác dụng phụ do uống cepharanthin liều cao không thấy xuất hiện.
5. Công dụng và liều dùng
5.1. Công dụng
Bình vôi đã được dùng từ lâu. Theo kinh nghiệm của nhân dân ta dùng bình vôi thái lát phơi khô chữa mất ngủ, ho hen, sốt, lỵ, đau bụng. Ngày uống 3 – 6g dạng thuốc sắc. Có thể tán bột ngâm rượu 40o với tỉ lệ 1 phần bột 5 phần rượu. Uống 5 – 10 ml rượu/ngày, có thể thêm đường cho dễ uống.
Bình vôi chủ yếu được dùng làm nguyên liệu chiết xuất lấy L – tetrahydropalmatin hoặc cepharanthin tuỳ theo loài.
L – tetrahydropalmatin (Rotundin) được dùng làm thuốc trấn kinh, an thần trong các trường hợp: mất ngủ, trạng thái căng thẳng thần kinh, một số trường hợp rối loạn tâm thần. Liều dùng: 0,03g – 0,1g dưới dạng viên 1 – tetrahydropalmatin hydroclorid hoặc sulfat, mỗi viên 0,03g.
Ngoài dạng viên 30 và 60 mg Rotundin còn có dạng tiêm Rotundin sulfat, mỗi ống 2 ml (60 mg) làm thuốc giảm đau, an thần, gây ngủ trong điều trị loét dạ dày tá tràng, đau dây thần kinh, mất ngủ do lo âu, căng thẳng thần kinh, hen co thắt phế quản.
5.2. Liều dùng:
– Mất ngủ, lo âu:
+ Người lớn: ngày 2 – 3 lần x 1 viên.
+ Trẻ em: từ 13 tháng trở lên: 2mg/kg/ngày chia 2 -3 lần.
– Giảm đau: nhức đầu, tăng huyết áp… dùng gấp đôi liều trên
Thuốc tiêm: mỗi lần 1 ống 2 ml, 1 – 2 lần/ngày.
Cepharanthin: ở Nhật Bản dùng cepharanthin chữa lao phổi, lao da, chữa nhiễm độc do côn trùng hay động vật ác tính cắn (rắn độc, cá độc, sâu độc), tăng cường khả năng miễn dịch khi điều trị ung thư.
Nhân dân Trung Quốc dùng củ S. cepharantha uống điều trị phong thấp, đau lưng, viêm thận phù,xuất huyết trong viêm dạ dày, ruột cấp tính, lỵ. Còn dùng củ tươi giã nát đắp ngoài chữa nhọt sưng tấy, rắn độc cắn.
TÀI LIỆU THAM KHẢO
Bộ môn dược liệu (2011), “Bài giảng dược liệu”, tập I. Trường đại học Dược Hà Nội
Bộ môn dược liệu (1998), “Bài giảng dược liệu”, tập II. Trường đại học Dược Hà Nội.
Đỗ Tất Lợi (2004), “Những cây thuốc và vị thuốc Việt Nam”, Nhà xuất bản Y học.
Viện dược liệu (2004), “Cây thuốc và động vật làm thuốc ở Việt Nam”, tập I, Nhà xuất bản khoa hoc kỹ thuật.
Viện Dược liệu (2004), “Cây thuốc và động vật làm thuốc Việt Nam”, tập II, Nhà xuất bản Khoa học kỹ thuật.


