BENLADON
Tên khoa học của cây Benladon: Atropa belladonna L., họ Cà – Solanaceae
Đặc điểm thực vật
Cây thuộc thảo, sống được nhiều năm, cao từ 1-1,5 m, phần trên có lông. Lá nguyên hình bầu dục, nhọn, so le, phần ngọn lại mọc đối. Lá có mùi buồn nôn, vị đắng khó chịu. Hoa đơn, mọc kẽ ở lá, hình chuông màu tím ở biên giới, nhạt màu đi xuống, cánh hợp, bầu trên, 5 nhị, bao phấn giống hình trái tim và 4 thùy. Quả thịt, 2 bào,chứa nhiều hạt, lúc đầu có màu xanh sau chín có màu tím đen.
Phân bố, trồng hái
Cây có nguồn gốc ở Nam và trung Âu, mọc nhiều ở những rừng thưa trên đất chứa đá vôi. Ngày nay được trồng nhiều nơi trên thế giới nhất là ở Nga, Pháp, Anh, Ấn Độ, Mỹ…
Trồng bằng hạt, cũng có thể rồng bằng đoạn rễ, thường trồng mỗi cây cách nhau chừng 0,3 m trên những luống cách nhau 0.8 m, ánh sang và phân bón rất ảnh hưởng tới hàm lượng alcaloid trong cây.
Thu hái khi cây sắp ra hoa (vào tháng 6, tháng 7) vì lúc đó có hàm lượng hoạt chất rất cao. Người ta thường cắt cả cây để lại gốc cách mặt đất chừng 4-5 cm (cho nẩy chồi mới) rồi mới hái riêng lá đem phơi hặc sấy ở nhiệt độ 45 độ C trong 24 đến 48 giờ.
Thu hoạch rễ, thường ở những cây đã 2 tuổi và không hái lá năm trước để có hàm lượng hoạt chất cao. Đào rễ lúc cây ra hoa, đem rửa sạch đất, cắt thành những đoạn ngắn rồi đem phơi hoặc sấy ở nhiệt độ thấp.
Hái quả khi chin đem phơi ngay, đến khi quả thật khô đem xát láy hạt. Nấu dung hạt làm giống có thể để nguyên quả khi nào gieo mới lấy hạt ra.
Bộ phận dùng
Lá phơi khô (Folium Belladonnae)
Rễ (Radix Belladonnae)
Quả và hạt (Fructus et Semen Belladonnae)
Vi phẫu lá :
Biểu bì trên và biểu bì dưới đều có lỗ khí, có ít lông che chở gồm 2 đến 5 tế bào dài, thành hơi dày và nhẵn hoặc hơi có chấm. Lông tiết nhiều hơn, phần lớn chân đa bào và dài, đầu đơn bào
Mô dậu có một hàng tế bào dài, tiếo sau là một lớp tế bào hình tròn, có calci oxalat dạng cát
Bột lá : Màu xanh lục, mùi hơi buồn nôn. Soi kính hiển vi thấy : mảnh biểu bì gồm tế bào có thành phần ngoằn ngoèo và lớp cutin vó vân, lỗ khí bao bọc bởi 3 tế bào phụ. Lông che chở đa bào nhẵn hoặc hơi có chấm. Lông tiết có loại chân đa bào đàu đơn bào, có loại chân đơn bào đầu đa bào. Mảnh mô mềm có tế bào chứa calxi oxalat dạng cát.
Bột lá benladon
1. Mảnh biểu bì
2. Mảnh biểu bì trên gân lá
3. Mảnh phiến lá
4. Lông che chở
5. Lông tiết
6. Mảnh mô mềm có tế bào cát
7. Mảnh phiến lá có mạch xoắn và calci oxalat dạng cát
8. Calci oxalat dạng cát
9. Calci oxalat hình cầu gai
10. Mảnh mô mềm
11. Mạch xoắn
Thành phần hóa học
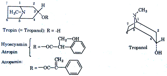
Trong lá chứa 0,2 – 1,2 %, ở rễ có 0,45 – 0,85%, ở hoa 0,5 %, ở quả 0,65% và ở hạt có 0,8% acaloid. Acaloid chính cũng là chất có tác dụng dược lý mạnh là L – hyoscyamin; trong quá trình chế biến dược liệu, acaloid nay đã chuyển một phần sang dạng racemic là atropin (D, L – hyoscyamin). Ngoài ra còn có một số nhỏ L – scopolamin và các vết atropamin ( = apotropin), benladonin, tropin, scopin, cuscohygrin).
Các chất kiềm bay hơi như N – methylpyrrolin, N – methylpyrrolidin…;các chất kiềm này không có tác dụng sinh lý rõ rệt nhưng cần chú ý khi định lượng alcaloid trong dược liệu.
– Có glycosid là scopolin (= methyllesculin), khi thủy phân cho glucose và scopoletin (= methylesculetin).
– Scopolin và scopoletin cho huỳnh quang màu xanh đậm trong môi trường amoniac, người ta dùng để phân biệt với dịch chiết hoặc rượu thuốc của dược liệu khác không cho huỳnh quang vì không có hoặc rất ít scopoletin như trong các loài Datura và Hyoscyamus.
– Có rất nhiều chất muối vô cơ nên tỷ lệ tro rất cao (tới 15 %) , gồm các muối clorid và nitrat nên dễ hút nước, do đó cao benladon cũng dễ hút nước, cần bảo quản cẩn thận.
– Ngoài ra, trong lá và rễ còn chứa tanin (khoảng 10%) và acid hữu cơ.
Kiểm nghiệm
1. Định tính
– Trên vi phẫu: Xác định vị trí alcaloid ở lá benladon :nhỏ lên vi phẫu một giọt thuốc thử Bouchardat hoặc thuốc thử phosphomolydic sẽ thấy tủa alcaloid tập trung ở biểu bì quanh libe.
– Phản ứng Vitali: Cho vào 0,5g bột dược liệu 10ml acid HCl 1N, lắc trong 3 phút, lọc. Kiềm hoá dịch lọc bằng dung dịch amoniac rồi lắc mạnh với 10ml ether etylic, gạn lấy lớp ether, loại nước lẫn trong ether bằng Na2SO4 khan, lọc vào một chén sứ, cho bốc hơi cách thủy tới khô. Hòa tan cắn với 3 -5 giọt dung dịch KOH 0,5N trong cồn. Nếu có mặt tropanalcaloid (atropin, hyoscyamin, scopolamin) sẽ xuất hiện màu tím, màu này sẽ đậm hơn khi cho thêm ngay 2 ml aceton, màu sẽ dần dần biến mất sau 10 – 15 phút.
Một vài alcaloid khác như strychnin, apomorphin và veratrin cũng cho màu tương tự nhưng màu sẽ mất đi nhanh khi cho thêm aceton.
Cơ chế phản ứng Vitali được Schwenker (1965 và 1966) giải thích như sau: Khi tác dụng với acid HNO3 bốc khói thì vòng thơm của acid tropic (một phần của phân tử atropin, hyoscyamin, scopolamin…) được gắn một nhóm NO2 vào vị trí 4; ở đây sinh ra bên cạnh hợp chất este của acid nitric là 4 nitroatropin (I) còn có 4 – nitroatropin (II). Cả 2 hợp chất nitro nay đều cho màu tím đặc trưng khi tác dụng với kiềm mạnh, chúng tạo ra những anion mesomeri bền vững (III).
– Định tính scopolin: Để định tính scopolin, người ta dựa vào tính chất tạo ra huỳnh quang trong môi trường kiềm. Chiết lấy glycosid scopolin hoặc phần aglycon scopolin sau khi thủy phân bằng acid, đem lắc với chloroform hoặc ether, gạn lấy lớp dung môi, cho bốc hơi tới khô, hòa tan cắn trong dung dịch amoniac loãng sẽ xuất hiện huỳnh quang xanh đậm.
Người ta thường chỉ định tính metylsculin khi kiểm tra dịch chiết hoặc thuốc điều chế từ lá benladon, nhưng cần chú ý là trong là của cây họ Cà đều có flavonoid, nên trong dung dịch kiềm xuất hiện huỳnh quang màu vàng. Để kết luận được chắc chắn người ta thường phối hợp với phương pháp sắc kí.
1. Định lượng
Cân chính xác 10g dược liệu tán nhỏ vừa, thấm ướt bằng một hỗn hợp 8ml amoniac, 10ml cồn 95o và 20ml ether etylic. Để yên 12giờ trong một cốc đậy kín rồi chuyển hoàn toàn vào một bình chiết và chiết liên tục bằng ether ethylic trong 3 giờ. Chuyển dịch chiết ether vào một bình gạn rồi lắc 4 lần, mỗi lần 20ml HCl 1%. Tập trung bình chiết vào một bình gạn khác, kiềm hóa bằng dung dịch amoniac đến pH 9,5 – 10 rồi lắc 4 lần, mỗi lần 25ml chloroform. Lọc dịch chiết cloroform qua Na2SO4 khan rồi đem cất thu hồi chloroform. Cắn còn lại đem sấy khô ở 100 – 105oC trong 60 phút. Sau khi nguội, hòa tan cắn trong 4 ml chloroform, thêm 15 ml dung dịch H2SO4 0,02N. Đun nóng trên nồi cách thủy cho bay hơi hết chloroform, hòa loãng với 20 ml nước mới đun sôi để nguội. Sau khi nguội định lượng bằng NaOH 0,02 đến khi chuyển sang màu vàng, dùng chỉ thị màu là methyl đỏ.
Gọi n là số ml NaOH 0,02 đã dùng để trung hòa H2SO4 thừa, (15 – n) là số ml dung dịch H2SO4 0,02 đã dùng để bão hòa alcaloid.
1ml dung dịch H2SO4 0,02N tương ứng với 0,00578 g alcaloid biểu thị bằng hyoscyamin.
Hàm lượng phần trăm alcaloid của dược liệu:
X% = (15 – n) x 0,0578
Ngoài ra, có thể định lượng bằng phương pháp so màu dựa vào màu tạo ra của phản ứng Vitali, phản ứng rất nhạy nhưng màu không bền vững nên phải làm nhanh.
Hoặc tạo tủa alcaloid với muối Reinecke, hòa tan tủa có màu trong aceton rồi đo quang ở bước sóng 525nm.
Dược điển Việt Nam I quy định: Lá benladon phải chứa 0,3 – 0,5 % acaloid toàn phần, biểu thị bằng hyoscyanin.
Định lượng bằng phương pháp hóa học không phân biệt được atropin và hyoscyamin tuy tác dụng sinh học của hyacyamin mạnh hơn atropin nhiều. Muốn phân biệt người ta phải định lượng bằng phương pháp sinh vật.
Tác dụng và công dụng
Atropin làm liệt phó giao cảm. Nó ảnh hưởng đặc biệt đến sự hoạt động của các tuyến và cơ trơn. Nó làm giảm tiết nước bọt, mồ hôi, dịch vị… có khi ngừng hẳn, làm giảm co bóp của dạ dày, ruột, phế quản, làm tim đập nhanh, làm giãn đồng tử. Liều nhỏ kích thích thần kinh trung ương, gây sảng khoái, ảo giác và mê sảng, liều cao gây liệt. Ngoài ra atropin còn có tác dụng chống nôn. L – hyoscyamin tác dụng mạnh hơn atropin vì atropin có một nửa là D – hyoscyamin. Điều đó cho thấy dịch chiết dược liệu chứa L – hyoscyamin nhiều hơn D – hyoscyamin nên có tác dụng mạnh hơn lượng atropin tinh khiết tương ứng.
Dược liệu cũng như atropin được dùng để làm thuốc giảm đau co thắt cơ trơn (bệnh dạ dày, mật, co cứng do bí đại tiện và hen phế quản), trong bệnh đau dạ dày do thừa dịch vị, thuốc nhỏ mắt làm giãn đồng tử, làm thuốc chống nôn, làm giảm bài tiết nước bọt khi phẫu thuật và dùng trong bệnh Parkinson (bệnh liệt rung). Ngoài ra, người ta còn sử dụng dịch chiết rễ cây benladon để chữa bệnh Parkinson.
Benladon là dược liệu độc, độ độc thay đổi tùy theo hàm lượng alcaloid.
Dạng dùng và liều dùng
Bột lá: (bảng A): Liều tối đa 0,15g mỗi lần 0,50g trong 24 giờ.
Cao (bảng A): Liều tối đa 0,03g mỗi lần 0,01g trong 24 giờ
Cồn 1/10 (giảm độc A): Liều tối đa 1,5g mỗi lần 5g trong 24 giờ.
TÀI LIỆU THAM KHẢO
Ngô Văn Thu (2011), “Bài giảng dược liệu”, tập I. Trường đại học Dược Hà Nội
Phạm Thanh Kỳ và cs. (1998), “Bài giảng dược liệu”, tập II. Trường đại học Dược Hà Nội.
Đỗ Tất Lợi (2004), “Những cây thuốc và vị thuốc Việt Nam”, Nhà xuất bản Y học.
Viện dược liệu (2004), “Cây thuốc và động vật làm thuốc ở Việt Nam”, tập I, Nhà xuất bản khoa hoc kỹ thuật.
Viện Dược liệu (2004), “Cây thuốc và động vật làm thuốc Việt Nam”, tập II, Nhà xuất bản Khoa học kỹ thuật.





