III. Tính chất – Định tính.
Các dẫn chất flavon có màu vàng rất nhạt có khi không màu (trường hợp các nhóm OH đã methyl hoá), flavonol vàng nhạt đến vàng, chalcon và auron vàng đậm đến đỏ cam. Các chất thuôc nhóm isoflavon, flavanon, isoflavanon, flavanonol, leuco-anthocyanidin, flavan-3-ol do không có nối đôi liên hiệp giữa vòng B với nhóm carbonyl nên không màu.
Các dẫn chất anthocyanidin thì màu thay đổi tuỳ theo pH của môi trường. Tuy nhiên khi các flavonoid ở trong các bộ phận của cây thì còn phụ thuộc vào hỗn hợp với các sắc tố khác.
Độ tan không giống nhau, thường flavonoid glycosid và flavonoid sulfat là những hợp chất phân cực nên không tan hoặc ít tan trong dung môi hữu cơ, tan được trong nước tốt nhất là cồn nườc. Các aglycon flavonoid thì tan được trong dung môi hữu cơ, không tan trong nước. Các dẫn chất flavonoid có nhóm 7-hydroxy thường dễ tan trong dung dịch kiềm loãng.
Một số phản ứng định tính (chủ yếu với nhóm euflavonoid)
– Tác dụng của FeCl3: Tùy theo nhóm flavonoid và tùy theo số lượng vị trí nhóm OH trong phân tử mà cho màu lục, xanh, nâu.
– Tác dụng của kiềm. Nếu hơ một tổ chức thực vật như cánh hoa, nhát cắt của gỗ hoặc tờ giấy thấm có nhỏ dịch chiết trên miệng lọ ammoniac thì có màu vàng tăng lên tùy theo nồng độ flavonoid và tùy theo nhóm flavonoid. Flavon và flavonol cho màu vàng sáng, anthocyanidin cho màu xanh dương. Chalcon và auron có thể cho màu đỏ da cam. Một số nhóm khác như flavan-3-ol, flavanon, isoflavon màu không thay đổi. Tuy nhiên nếu thực hiện trong ống nghiệm với dung dịch alkali thì một số dẫn chất flavan-3-ol lại cho màu vì dễ bị oxy hoá, còn flavanon dễ bị isomer hoá thành chalcon nên nếu để một lúc lại cho màu vàng đậm đến đỏ.
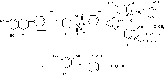
– Tác dụng của NaOH đậm đặc và đun nóng (phân hủy kiềm). Đun flavonoid với dung dịch KOH 30% thì sẽ mở vòng C rồi dẫn đến tạo thành dẫn chất acid thơm và dẫn chất phenol. Tùy theo nhóm thế và vị trí thế vào vòng A và B mà có các dẫn chất acid thơm và phenol khác nhau. Có thể xác định các dẫn chất này bằng phương pháp sắc ký đối chiếu với chất mẫu, kết quả thu được dùng để góp phần biện luận cấu trúc. Ví dụ khi phân huỷ chất Chrysin thì thu được phloroglucin, acid benzoic.
– Tác dụng của H2SO4 đậm đặc:
Acid H2SO4 khi nhỏ lên các dẫn chất flavon, flavonol thì cho màu vàng đậm. Đối với chalcon và auron cho màu đỏ, đỏ thắm, đỏ tươi. Flavanon cho màu đỏ cam rồi đỏ thắm, có thể do chuyển flavanon thành chalcon.
– Tác dụng của antimoin pentachlorid (Phản ứng Martini Bettolo.)
SbCl5 trong CCl4 cho màu từ đỏ đến tím với chalcon, vàng đến vàng cam với flavon. Dihydrochalcon thì mất nối đôi liên hiệp giữa nhóm carbonyl và vòng B nên không cho màu với SbCl5 hoặc với H2SO4.
– Phản ứng cyanidin (Phản ứng Shinoda hay Willstater).
Đây là phản ứng khử hay được sử dụng nhất để tìm sự có mặt của các dẫn chất nhóm flavonoid. Dung dịch flavonoid trong ethanol, thêm bột Mg rồi nhỏ từ từ HCl đậm đặc. Sau 1 đến 2 phút sẽ có màu đỏ cam, đỏ thẩm hoặc đỏ tươi với các dẫn chất flavon, flavonol, flavanonol, flavanon. Màu sắc đôi khi có thể bị thay đổi tùy theo loại, số lượng, vị trí nhóm thế ví dụ các dẫn chất methoxy flavon (Tangeretin, Nobiletin) thì âm tính. Để phân biệt giữa flavonoid glycosid và aglycon của chúng, Bryant đem lắc dung dịch có màu với octanol, nếu màu ở lớp dưới lên hết ở lớp octanol, chất thử là aglycon, nếu lớp octanol không màu, chất thử là glycosid. Cũng cần lưu ý rằng các dẫn chất xanthon ví dụ mangiferin (có trong lá xoài) cũng dương tính với thuốc thử cyanidin.
– Tác dụng của chì acetat trung tính hoặc kiềm.
Phản ứng thực hiện trên giấy thấm. Nhiều dẫn chất flavonoid tạo thành muối hoặc phức có màu khi nhỏ thêm dung dịch chì acetat trung tính hoặc kiềm. Màu phụ thuộc vào các dẫn chất flavonoid.
Nếu tiến hành trong ống nghiệm, chì acetat kièm cho tủa màu với hầu hết các flavonoid phenol còn chì acetat trung tính tạo tủa với những dẫn chất có nhóm o.dihydroxyphenol.
– Phản ứng ghép đôi với muối diazoni.
Các dẫn chất flavonoid có nhóm OH ở vị trí 7 có thể phản ứng với muối diazoni để tạo thành chất màu azoic vàng cam đến đỏ.
https://hoibacsy.vn
TÀI LIỆU THAM KHẢO
Ngô Văn Thu (2011), “Bài giảng dược liệu”, tập I. Trường đại học Dược Hà Nội
Phạm Thanh Kỳ (1998), “Bài giảng dược liệu”, tập II. Trường đại học Dược Hà Nội
Đỗ Tất Lợi (2004), “Những cây thuốc và vị thuốc Việt Nam”, Nhà xuất bản Y học
Viện dược liệu (2004), “Cây thuốc và động vật làm thuốc ở Việt Nam”, tập I, Nhà xuất bản khoa hoc kỹ thuật.
Viện Dược liệu (2004), “Cây thuốc và động vật làm thuốc Việt Nam”, tập II, Nhà xuất bản Khoa học kỹ thuật.


