SINH ĐỊA (ĐỊA HOÀNG)
Radix Rehmanniae.
Dược liệu là rễ củ tươi hay sấy khô của cây Địa hoàng – Rehmannia glutinosa (Gaertn.)Libosch.; họ Hoa Mõm sói – Scrophulariaceae. Sinh địa đã được ghi vào Dược điển Việt Nam.
Đặc điểm thực vật và phân bố.
Cây thuộc thảo, cao 10-30cm. Toàn cây có lông mềm. Lá dày, phiến lá hình trứng ngược dài 3-15cm, rộng 1,5-6cm, mép lá có răng cưa không đều, mặt dưới có gân nổi rõ. Lá mọc vòng ở gốc. Hoa màu tím sẫm, mọc thành chùm ở ngọn. Thân rễ mẫm thành củ, lúc đầu mọc thẳng sau mọc ngang. Trước đây ta phải nhập sinh địa của Trung Quốc; từ năm 1958 chúng ta đã trồng thành công trong nước, hiện đang được phát triển trồng ở nhiều địa phương.
Trồng trọt:
Việc trồng cây địa hoàng nên tiến hành bằng phương pháp nhân giống bằng mầm thì có nhiều ưu điểm: hệ số nhân giống cao hơn, tỷ lệ cây sống tăng, năng suất rễ củ tăng. Đất trồng cần tơi,xốp. Phân bón cần có kali. Khi cây ra hoa thì ngắt bỏ ngọn hoa để củ được to. Vùng trung du và đồng bằng nước ta mỗi năm có thể trồng hai vụ: một vụ trồng vào tháng 1-2, thu hoạch tháng 8-9; một vụ trồng tháng 7-8, thu hoạch tháng 2-3. Mỗi hecta có thể cho từ 3 đến 7 tấn tùy theo vụ trồng và cách chăm sóc.
Chế biến:
Sinh địa khô. (= sinh địa) – củ đem rửa sạch, ngày đầu sấy 34-40oC, ngày thứ hai trở đi 50-60oC, hàng ngày đảo đều, khi củ mềm dẻo, thịt đen lại là được.
Thục địa (Theo Dược liệu Việt Nam – Bộ Y tế – Nhà xuất bản Y học 1972 trang 222). Lấy 10kg sinh địa rửa sạch, để ráo. Lấy 5 lít nước cho vào 300g bột sa nhân sắc lấy 4 lít nước. Lấy nước sa nhân tẩm sinh địa rồi xếp vào thạp hay thùng men. Cho nước sa nhân còn lại với 100g gừng tươi giã nhỏ và nước sôi cho đủ ngập hết các củ. Đun sôi liên tục trong 2 ngày đêm, nước cạn đến đâu phải thêm nước sôi vào cho đủ mức cũ, thỉnh thoảng đảo củ (cần chú ý nấu phải thật đều lửa và thật kỹ, nếu không sau này có nấu lại củ cũng không thể mềm được). Sau đó nấu cạn còn 1/2 nước, vớt củ ra để ráo nước. Lấy nước thục còn lại pha thêm1/2 lượng rượu 25-300, đem tẩm rồi đồ trong 3 giờ và đem phơi. Làm nhiều lần như vậy đến khi cạn hết nước thục.
Thành phần hóa học:
Thành phần hoá học của Địa hoàng Hoài Khánh – R. glutinosa Libosch forma hueichigensis Hsiao. đã được các nhà nghiên cứu Nhật xác định thành phần.
– Từ dịch chiết bằng methanol, cô cạn rồi pha loãng bằng nước, chiết lại bằng butanol. Bốc hơi butanol rồi lắc với ether để loại tạp chất. Phần còn lại sắc ký qua cột, dùng chất hấp phụ là than hoạt-celit (1:1), khai triển bằng dung môi nước và cồn tăng dần. Trong phân đoạn cồn 5-10% thu được catalpol là một iridoid glycosid đ.c. 207-2090C [ a]22 = -1220, hàm lượng 0,11% trong củ tươi. Ngoài catalpol, các iridoid glycosid khác cũng được xác định cấu trúc: Rehmaniosid A, B, C, D (công thức xem phần đại cương).
– Từ dịch chiết nước có các thành phần sau đã xác định: 15 amino acid và D-glucosamin (trong phân đoạn kiềm), phosphoric acid (trong phân đoạn acid). Phần chính còn lại (trong phân đoạn trung tính) là các carbohydrat: D-glucose, D-galactose, D-fructose, sucrose, rafinose, mannotriose, stachyose, verbascose và D-manitol. Stachyose là chính với hàm lượng 48,3% (so với dược liệu khô).
Thành phần của loại Địa hoàng R. glutinosa var. purpurea thì thành phần chính trong phân đoạn trung tính vẫn là stachyose, còn trong phân đoạn kiềm là arginin chiếm 4,2% và phân đoạn acid là g-aminobutyric acid chiếm 3%.
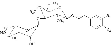
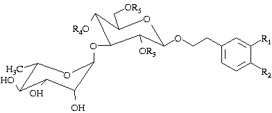
Cũng từ rễ địa hoàng này, năm 1990 các nhà nghiên cứu Nhật còn phân lập thêm 18 dẫn chất phenethyl alcohol glycosid trong đó có các chất 2′-O-acetyl-acetosid (1), jionosid C (2), jionosid D (3) và isoacetosid (4) đã được thử tác dụng sinh học.
R1 | R2 | R3 | R4 | R5 | |
1 | OH | OH | Ac | Caffeoyl | H |
2 | H | H | H | Caffeoyl | H |
3 | OH | OCH3 | H | Caffeoyl | H |
4 | OH | OH | H | H | Caffeoyl |
Các chất phenethyl glycosid đã đươc thử tác dụng sinh học, cho thấy: các chất (1), (2), (3) có tác dụng ức chế aldose reductase (AR) với IC50 là 10–7-10–6M và (1), (2), (4) có tác dụng ức chế 5-lipoxygenase với IC50 là 10–5M. Do tác dụng ức chế AR của các hoạt chất trên nên sinh địa có tác dụng cải thiện trong các trường hợp biến chứng của bệnh tiểu đường liên quan đến thận, thần kinh, võng mạc, đục thủy tinh thể.
Tác dụng và công dụng:
Catalpol có tác dụng hạ thấp đường huyết rõ rệt đã được thí nghiệm trên súc vật. Ngoài ra còn có tác dụng lợi tiểu và nhuận.
Sinh địa dùng trong các bệnh tiểu đường, thiếu máu, thể trạng dễ bị chảy máu, sốt, lưỡi đỏ và khát. Thục địa dùng trong các trường hợp thiếu máu, tim đập nhanh, rối loạn kinh nguyệt, rong kinh, chóng mặt, ù tai, tóc râu bạc sớm.
Sinh địa và thục địa là thuốc bổ chữa suy nhược cơ thể.
Thục địa là thành phần hay gặp trong các thang thuốc của Đông Y như”Bát vị”, “Lục vị”, “Hà xa đại tạo” …
https://hoibacsy.vn
TÀI LIỆU THAM KHẢO
Ngô Văn Thu (2011), “Bài giảng dược liệu”, tập I. Trường đại học Dược Hà Nội
Phạm Thanh Kỳ (1998), “Bài giảng dược liệu”, tập II. Trường đại học Dược Hà Nội
Đỗ Tất Lợi (2004), “Những cây thuốc và vị thuốc Việt Nam”, Nhà xuất bản Y học
Viện dược liệu (2004), “Cây thuốc và động vật làm thuốc ở Việt Nam”, tập I, Nhà xuất bản khoa hoc kỹ thuật.
Viện Dược liệu (2004), “Cây thuốc và động vật làm thuốc Việt Nam”, tập II, Nhà xuất bản Khoa học kỹ thuật.

