GẤU
Ở Việt Nam có mấy loại gấu:
– Gấu ngựa – Selenarctos thibetanus G. Cuvir
– Gấu chó – Ursus aretos lisiotus Gray
Họ Gấu – Ursidae

Đặc điểm, phân bố và nuôi gấu
Gấu ngựa có khoang trắng hình chữ V ở ngực. Thính giác và khứu giác phát triển nhiều hơn so với thị giác. Trọng lượng mỗi con 50 – 60 kg, có khi nặng trên 300 kg.
Gấu ngựa béo nhất vào mùa thu, lúc này lớp mỡ dưới da ở vùng háng, hông và lưng dầy 8 – 10cm. Cuối tháng 3, đầu tháng 4 lớp mỡ này tiêu hết. Gấu để vào lúc 6 tuổi, mỗi lứa 2 con. Ở phía Bắc thời gian sinh đẻ rải rác từ tháng 11 đến tháng 7 năm sau.
Ở nước ta hay gặp gấu ngựa ở miền núi và trung du; ở Liên Xô (cũ) gặp ở vùng Viễn Đông, Triều Tiên, Nhật Bản, Trung Quốc, Lào, Thái Lan, Myanma, Ấn Độ, Afganistan.
Nghề nuôi gấu hiện nay chưa phát triển, nhưng đã được nuôi nhiều trong các trại thú, cánh xiếc. Mấy năm gần đây nhiều người nuôi gấu để lấy mật bán, dùng làm thuốc chữa bệnh, đặc biệt là người tra tuyên truyền chữa được ung thư, cho nên nhiều người mua mật gấu về dùng. Nhưng chúng tôi chưa thấy có một bệnh nhân bị bệnh ung thư nào khỏi bệnh vì uống mật gấu.
Bộ phận dùng:
Xương gấu
Gấu có xương đầu hẹp, dài, không có gờ ở giữa môi hàm trên và môi hàm dưới. Có 26 răng (16 răng cửa, 2 răng nanh và 8 răng hàm). Xương cổ gồm 7 cái, cái thứ nhất gần như đầu xoè ngang hình con bướm.
Xương sống gồm 23 đốt (20 đốt có gai ở giữa và 3 đốt xương cùng), 7 đốt xương đuôi ngắn, 19 đôi xương sườn và xương ức.
Xương chậu: Xương chậu trước gồm: 1 xương bả vai nhỏ, hơi khum, không có gờ cao, 1 xương cánh có gờ vặn, không có lỗ hổng, 1 xương trụ, 1 xương quay và 5 xương ngón chân; Xương chậu sau gồm: 1 xương chậu, 1 xương đùi, 1 xương ống, 1 xương mác, 1 xương bánh chè và 5 xương ngón chân.
Mật gấu (Fel ursi)
Là túi mật đã phơi hay sấy khô của nhiều loại gấu. Mật gấu là cái túi hình trứng dẹt, có cuống dài từ 10 – 15 cm, rộng 5 – 8 cm, dày 2 – 4 mm. Mặt ngoài nhẵn, màu nâu tro hay tro đen. Túi mật chứa một chất màu đen nhánh, gồm những hạt lổn nhổn, màu vàng óng ánh. Vị hơi đắng, sau hơi ngọt, dính lưỡi, ngậm lâu sẽ tan hết trong miệng.
Phương pháp lấy mật gấu
Theo kinh nghiệm của nhân dân: Khi săn bắt được gấu, giết lấy mật ngay.
Phương pháp hiện đại: Lấy mật gấu bằng phương pháp hút chân không nhờ có máy siêu âm để xác định vị trí túi mật.
Thành phần hoá học
Xương gấu ít được nghiên cứu.
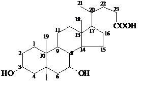
Mật gấu chứa các muối kim loại của acid cholic, a. chenodesoxycholic, a. ursodesoxycholic, cholesterol và các sắc tố mật.
Chúng có công thức hoá học như sau:
A.chenodesoxycholic

A.cholic A.urodesoxy
Kiểm nghiệm
Sơ bộ thử mật gấu: Lấy vài hạt mật thả vào bát nước, sẽ thấy hạt mật quay tròn rồi chìm xuống đáy, cho một sợi vàng không toả ra. Khi mật gấu đã bị pha loãng, mật của các động vật khác không có hiện tượng này.
Lấy vài hạt mật đốt trên ngọn đèn cồn sẽ thấy hạt mật sủi bọt, phồng lên rất lâu cháy, khoảng 50 phút thì cháy hết. Khi cháy hết để lại vết trắng.
Tác dụng và công dụng
– Xương gấu đã loại bỏ thịt, gân, tuỷ, rửa sạch, phối hợp với xương hổ và các loại xương khác hoặc để riêng xương gấu nấu thành cao gấu, đóng thành từng bánh, mỗi bánh 100 g. Xem cao hổ cốt.
– Cao gấu có tác dụng bồi bổ khí huyết, chân tay đau buốt, gân xương nhức mỏi, trẻ em trúng phong, chân tay co giật.
Dùng 10 – 15 g/ngày trước khi đi ngủ.
– Mật gấu: Mật gấu chữa đau dạ dày, đau bụng, chấn thương: ứ máu, sưng bầm, cơ thể đau nhức, giải độc, hoàng đản. Chữa mắt sưng đỏ có màng, kinh giản co giật, đau răng, ỉa ra máu nhưng không phải lỵ amíp.
Ngày nay, người ta dùng mất gấu để chữa bệnh sỏi mật ở dạng bùn, có kết quả tốt.
Mỗi ngày uống 0,50 – 2 g mật hoà với nước.
Dùng ngoài, hoà với rượu trị sung huyết (5% mật trong cồn 700), xoa bóp chữa sưng đau do ngã, bị đánh đập, các vết sưng tấy khác.
Không nên nuôi gấu trong lồng vì chúng không sinh sản, dẫn đến tuyệt chủng. Cần nghiên cứu nuôi gấu bán tự nhiên, gấu vẫn sinh sản và có thể vẫn lấy được mật làm thuốc.
https://hoibacsy.vn
TÀI LIỆU THAM KHẢO
Bộ môn dược liệu (2011), “Bài giảng dược liệu”, tập I. Trường đại học Dược Hà Nội
Bộ môn dược liệu (1998), “Bài giảng dược liệu”, tập II. Trường đại học Dược Hà Nội.
Đỗ Tất Lợi (2004), “Những cây thuốc và vị thuốc Việt Nam”, Nhà xuất bản Y học.
Viện dược liệu (2004), “Cây thuốc và động vật làm thuốc ở Việt Nam”, tập I, Nhà xuất bản khoa hoc kỹ thuật.
Viện Dược liệu (2004), “Cây thuốc và động vật làm thuốc Việt Nam”, tập II, Nhà xuất bản Khoa học kỹ thuật.

