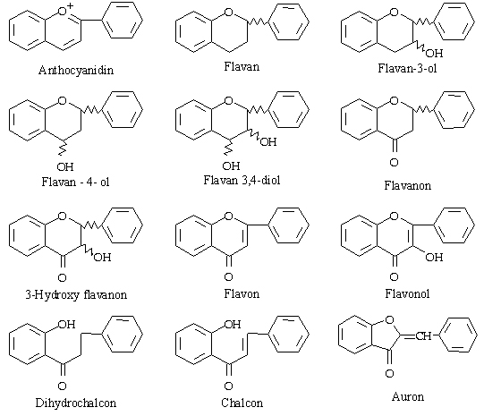
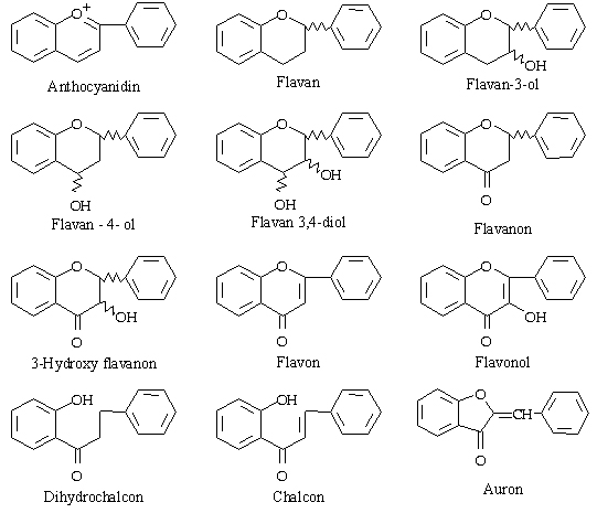
1. Euflavonoid: Euflavonoid bao gồm các nhóm: anthocyanidin, flavan, flavan 3-ol, flavan 4-ol,flavan 3,4-diol, flavanon, 3-hydroxy flavanon, flavon, flavonol, dihydrochalcon, chalcon, auron.
Một số nhóm euflavonoid:
Anthocyanidin (= 2 phenylbenzopyrilium)
anthocyanidin |
Đây là sắc tố rất phổ biến trong thực vật. Từ “anthocyanin” được Marquart đưa ra năm 1895 để chỉ sắc tố màu xanh của cây Centaurea cyanus. Từ anthocyanin do chữ anthos=hoa, kyanos= xanh, về sau dùng để chỉ những sắc tố thuộc nhóm flavonoid có màu xanh, đỏ hoặc tím. Trong cây hầu hết các sắc tố này đều ở dạng glycosid (anthocyanin = anthocyanosid) nằm trong dịch tế bào. Khi đun anthocyanin trong dung dịch HCl 20% thì phần đường trong phân tử (thường nối vào OH ở C-3) bị cắt và cho phần aglycon được gọi là anthocyanidin. Cấu trúc của anthocyanidin là 2-phenyl benzopyrilium (= flavilium) là cation, ở trong dung dịch acid (pH 1-4) tạo muôi có màu đỏ, ở môi trường kiềm (pH>6) là anion cũng tạo được muối với các chất kiềm có màu xanh, nếu tăng thêm kiềm vòng C sẽ mở vòng tạo thành chalcon.
Dung dịch anthocyanidin mất màu bởi bisulfit kiềm và dễ bị oxy hoá nên ít được dùng làm phẩm màu.
Ba đại diện điển hình là pelargonidin, cyanidin, delphinidin. Tuỳ theo mức độ methyl hoá các OH trong vòng B của 3 chất trên mà có các dẫn chất khác nhau, ví dụ: malvidin (=3′,5′ dimetyl ether delphinidin), petuinidin (=5′ methyl ether delphinidin), peonidin (=3′ methyl ether cyanidin). 6 chất vừa kể khá phổ biến trong thực vật. Nói chung màu tăng khi số lượng nhóm OH trong vòng B tăng do đó delphinidin có màu đậm hơn cyanidin và chất này lại đậm hơn pelargonidin. Ngoài ra cyanidin và delphinidin vì có chứa các nhóm OH kế cận nên cho màu xanh đậm với muối sắt ba. Ở trong cây, màu sắc các anthocyanin không chỉ phụ thuộc vào cấu trúc phân tử, pH của dịch tế bào mà còn phụ thuộc vào dạng muối hoặc dạng phức với các cation kim loại hoặc phụ thuộc vào hỗn hợp màu với các sắc tố khác.
Khi tạo thành glycosid thì mạch đường phần lớn gắn vào vị trí 3 có khi vị trí 5 hoặc 7. Nếu có 2 mạch đường thì 3,5 đôi khi 3,7. Một vài trường hợp có đến 3 mạch ví dụ Ternatin A1 có trong cây Clitoria ternata. Các đường gặp trong anthocyanin là glucose, galactose, rhamnose đôi khi arabinose hoặc xylose. Số đơn vị đường trong một mạch có thể lên đến 5 nhưng rất hiếm. Một số có mạch đường phân nhánh ví dụ pelargonidin-3 (2G-glucosyl rutinosid) có trong quả cây mâm xôi Rubus alceaefolius Poir.. Nhiều trường hợp mạch đường có vài đơn vị đường được acyl hoá. Các acid có thể gặp là acid hydroxycinnamic, hydroxybenzoic, acetic và một số acid aliphatic dicarboxylic như malonic, malic, oxalic, succinic. Chất petanin có trong thân, lá hoa cây khoai tây là một ví dụ về acyl anthocyanin. Trường hợp chất ternatin A1 nói ở trên có phần aglycon là delphinidin, phần đường kể cả 3 mạch có 7 đơn vị glucose, 4 đơn vị acid 4-coumaric và một đơn vị acid malonic acyl hoá vào các mạch đường.
Các anthocyanin có thể kết hợp với một số kim loại như Fe, Mg dưới dạng phức càng cua (chelate), đây là các chất metalloanthocyanin.
Số lượng các chất anthocynin đã được biết cấu trúc cho đến nay đã có khoảng 300, hầu hết gặp trong ngành hạt kín và chủ yếu là ở hoa, đóng vai trò hấp dẫn côn trùng cho sự thụ phấn. Rất hiếm trong ngành hạt trần.
Flavan 3-ol.
Tùy theo các nhóm thế đính vào 2 vòng A và B mà có những dẫn chất flavan 3-ol khác nhau. Catechin và những đồng phân của nó cũng như gallocatechin và những đồng phân của chất này là những dẫn chất flavan 3-ol gặp tương đối phổ biến trong thực vật ví dụ như trong lá trà. Các chất catechin và gallocatechin có công thức như sau:
Các chất catechin R=H, R1= H Các chất gallocatechin R=OH, R1 = H |
Các dẫn chất flavan 3-ol đều có carbon bất đối ở C-2 và C-3. Mỗi dẫn chất có 4 đồng phân. Đồng phân 2R và 3R được gọi tên bằng cách thêm tiếp đầu ngữ epi. Các đồng phân 2S thì thêm tiếp đầu ngữ enantio, viết tắt là ent. Ví dụ:
Bảng ghi thêm một số dẫn chất flavan 3-ol
Tên chất | Vị trí và nhóm thế | |||||
Disnetin Guibourtinidol Fisetinidol Robinetinidol Oritin Mesquitol | 5 OH H H H H H | 7 OH OH OH OH OH OH | 8 H H H H OH OH | 3′ H H OH OH H OH | 4′ H OH OH OH OH OH | 5′ H H H OH H H |
Các dẫn chất flavan 3-ol có thể ở dạng ester gallat, benzoat, cinnamat ví dụ: catechin 3′-O-GA, catechin 4′-O-GA, catechin 4′,7-di-O-GA, catechin 3′,7-di-O-GA, epiafzelechin 3-O-GA, epicatechin 3-O-p-OH benzoat, epicatechin-3-O-cinnamat.
Người ta cũng gặp một số dẫn chất flavan 3-ol ở dạng glycosid ví dụ: Catechin 3-O-b-Dglcp, catechin 3′-O-b-Dglcp, catechin 4′-O-b-Dglcp, catechin 3′, 7-di-O-b-Dglcp, catechin 3′,4′-di-O-b-D-glcp là những chất phân lập được từ rễ đại hoàng.
Trong cây còn gặp những dẫn chất flavan 3-ol ở dạng dimer, trimer, tetramer, pentamer và được gọi là proanthocyanidin hay như người ta thường gọi là tanin ngưng tụ. Ví dụ các chất theasinensnin A, B, C, D, F, G có trong một loại trà – Camellia sinensis CV. viridis do kết hợp giữa 2 đơn phân epicatechin và epigallo catechin theo dây nối 2′-2′.
Trong quả và lá cây ô môi – Cassia fistula có nhiều dẫn chất flavan 3-ol dimer do kết hợp bằng dây nối (4b®8) hoặc (4a®8) giữa 2 đơn phân epiafzelechin hoặc ent epiafzelechin hoặc hỗn hợp 2 chất trên hoặc một trong 2 chất trên với epicatechin hay ent epicatechin.
Trong lá một loài đại hoàng, Rheumsp., nhiều dẫn chất trimer đã được tìm thấy:
. Epicatechin (4b®8) [3-O-GA-epicatechin-(4b®8)] epicatechin-3-O-GA. .
. [3-O-GA-epicatechin (4b®8)]2 epicatechin-3-O-GA
. 3-O-GA-epicatechin (4b® 6)-[3-O-GA-epicatechin (4b®8)] epicatechin-3-O-GA
. [3-O-GA-epicatechin (4b®6)]2 epicatechin-3-O-GA.
. 3-O-GA-epicatechin (4b® 6)-[3-O-GA-epicatechin (4b®8)] catechin.
. [3-O-GA-epicatechin (4b® 8)]2 catechin.
. 3-O-GA-epicatechin (4b® 8)-[3-O-GA-epicatechin (4b®6)] catechin.
Flavan 3,4-diol (=leucoanthocyanidin)
Các dẫn chất flavan 3,4-diol đều không màu, có tính quang hoạt, khi đun với acid thì dể chuyển thành anthocyanidin có màu đỏ. Vì dễ bị oxy hoá và trùng hiệp hoá nên việc phân lập chất tinh khiết gặp khó khăn. Phần lớn các flavan 3,4-diol cũng ở dạng dimer và cũng được goi là protoanthocyanidin. Các đơn phân được xác định bằng cách chuyển thành các dẫn chất anthocyanidin tương ứng. Chúng được gọi tên bằng cách thêm tiếp đầu ngữ leuco trước tên dẫn chất anthocyanidin mà nó chuyển thành ví dụ leucocyanidin sẽ cho cyanidin, leucopelargonidin sẽ cho pelargonidin.
Sau đây là 2 chất leucofisetinidin (công thức I và II) ở dạng dimer có trong lõi gỗ của loại Acacia mearnsii
. Ghi chú: glcp= glucopyranosyl, GA= galloyl.
Chưa gặp flavan 3,4-diol ở dạng glycosid.
Flavanon. Flavanon khác flavon ở chỗ không có nối đôi ở vị trí 2-3, có carbon bất đối ở C-2 nên có tính quang hoạt. Hầu hết các chất sau khi phân lập đều là racemat nhưng nếu chiết trong điều kiện nhẹ nhàng (nhiệt độ thấp, tránh dùng kiềm và acid) thì thu được dẫn chất có tính quang hoạt. Chất điển hình là hesperitin, carbon ở C-2 có cấu hình S và quay trái. Người ta cho rằng các chất flavanon khác cũng có cấu hình và tính quang hoạt như hesperitin.
Flavanon là những chất không màu nhưng khi làm phản ứng cyanidin thì cho màu rõ hơn flavon, ngoài ra flavanon có điểm chảy thấp hơn flavon tương ứng, dựa vào đây có thể sơ bộ nhận biết. Nhóm chức 4-carbonyl thể hiện rõ, tạo được oxim; nhóm CH2 ở vị trí 3 là nhóm hoạt động. Vòng dihydropyron của flavanon kém bền nên dễ bị mở vòng bởi kiềm hoặc acid để chuyển thành chalcon có maù vàng đậm. Trong cây người ta thường gặp chalcon bên cạnh flavanon tương ứng ví dụ liquiritin và isoliquiritin trong cam thảo (xem chương Saponin).
Bảng ghi một số chất Flavanon
Tên chất | Ví trí nhóm OH | Vị trí nhóm OCH3 |
Pinocembrin Liquiritigenin Naringenin Butin Eriodictyol Hesperitin | 5,7 4′,7 4′,5,7 3′,4′,7 3′,4′,5,7 3′,5,7 | 4′ |
Hesperidin (=7-rutinosid hesperitin), naringin (=naringenin-7-neohesperidosid) là những flavanon gặp trong một số vỏ cây thuộc chi Citrus. Naringin có vị đắng bằng 1/5 quinin, tuy nhiên aglycon thì không đắng ngoài ra nếu thay đường neohesperidose (=rha-1-2glc) bằng đường rutinose (rha-1-6-glucose) thì lại mất vị đắng. Nếu mở vòng C của naringin để tạo thành chalcon rồi hydrogen hoá tạo thành dihydro chalcon (xem phần sau) thì dẫn chất này có vị ngọt bằng saccharin.
3-Hydroxyflavanon. (=dihydroflavonol=flavanonol)
Dihydroflavonol có 2 carbon bất đối ở C-2 và C-3. Có thể tồn tại 6 đồng phân: 2d, 2l và 2dl. Phần lớn các chất dihydroflavonol ở dạng aglycon, cũng có một số ở dạng glycosid. Dihydroflavonol khó phân lập vì kém bền, dễ bị oxy hoá. Tuy nhiên dihydroflavonol phân bố tương đối rộng từ dương xỉ đến thực vật hạt trần và hạt kín. Sau đây là một số chất được biết nhiều:
Dihydrokaempferol (=aromadendrin)=4′,5,7 trihydroxy
Dihydroquercetin (=taxifolin)=3′,4′,5′,7 tetrahydroxy
Dihydromyricetin (=ampeloptin) = 3′,4′,5′,5,7 pentahydroxy
Những dẫn chất của taxifolin hay gặp nhất. Đặc biệt chất taxifolin 3-rhamnosid với đồng phân (2S, 3S) (=neoastilbin) có vị ngọt còn các đồng phân còn lại không có vị ngọt. Khi đun nóng một dẫn chất dihydroflavonol trong môi trường acid thì có sự chuyển đồng phân và tính quang hoạt có thể mất.
Silybin, silychristin, silidiamin là những hoạt chất có trong quả của cây Silybum marianum Gaertn. (Asteraceae). Hỗn hợp các chất trên được gọi là “Silymarin” là những chất có tác dụng bảo vệ tế bào gan rất tốt. Đây là những dẫn chất do sự kết hợp một phân tử alcol conyferilic (một dẫn chất lignan) với một flavonoid nên được gọi là flavolignan.
Flavon. Flavon khác flavanon ở chỗ có nối đôi ở vị trí 2-3. Các dẫn chất flavon rất phổ biến trong thực vật, kết tinh không màu đến màu vàng nhạt. Chỉ kể những flavon có nhóm thế OH và/hoặc OCH3 thì hiện nay đã biết có 300 chất. Chất flavon đơn giản nhất không có nhóm thế đã được phân lập từ cây anh thảo (Primula). Hai flavon hay gặp nhất trong cây là apigenin và luteolin. Các dẫn chất của apigenin là genkwanin (=7-Me ether), acacetin (4’Me ether), scutellarein (6-OH). Các dẫn chất của luteolin là chrysoeriol (=3’Me ether), diosmetin (=4′ Me ether).
Dưới đây kể thêm một vài flavon khác:
Tên gọi | Công thức | Dược liệu | Tên Latin |
Chrysin | 5,7 OH | Thông (lõi gỗ) | Pinus spp |
Baicalein | 5,6,7 OH | Hoàng cầm (rễ) | Scutellaria baicalensis |
Oroxylin A | 5,7-OH, 6-OMe | Núc nác (vỏ) | Oroxylum indicum |
Wogonin | 5,7-OH, 6-OMe | Hoàng cầm (rễ) | Scutellaria baicalensis |
Pedalitin | 5,7,3′,4′ OH, 6 OMe | Mè (lá) | Sesamum indicum |
Dinatin | 5,6,7,3′-OH, 4′ OMe | Digital lông (lá) | Digitalis lanata |
Tangeritin | 5,6,7,8,4′-OMe | Quít (vỏ quả) | Citrus deliciosa |
Nobiletin | 5,6,7,8,3′,4′-OMe | Cam (vỏ quả) Cây cứt lợn (thân + lá ) | Citrus aurantium Ageratum conyzoides |
Sinensetin* | 5,6,7,3′,4′ – OMe | Râu mèo (lá + thân) | Orthosiphon aristatus |
Ngoài những flavon có nhóm thế OH và OCH3 còn có những nhóm thế khác như -O-CH2O-, -CH3, -CHO, nhóm isoprenoid có 5 carbon: Me2CH-CH=CH, Me2C=CH-CH2-, Me2C(OH)CH2-CH2-, hoặc 10 carbon (nhóm geranyl). Có nhiều trường hợp nhóm prenyl đóng vòng với nhóm OH đứng cạnh để tạo thành vòng pyran, các flavon này được gọi là pyranoflavon. Ngoài ra còn có một số nhóm furanoflavon do gốc prenyl đóng vòng tạo thành vòng furan.
Các chất trong nhóm flavon, khi tạo thành O-glycosid , phần đường thường nối vào vị trí 7, ở vị trí 5 thì ít hơn. Nếu 2 mạch đường (diglycosid) thì 7 và 4′.
Khi tạo thành C-glycosid thì mạch đường thường nối vào vị trí 6 hoặc 8. Ví dụ apigenin 8-C- glucosid (=vitexin), apigenin 6-C-glucosid (=isovitexin), luteolin 8-C-glucosid (=orientin), luteolin 6-C-glucosid (=isoorientin) là những chất có trong lá me (Tamarindus indica).
Ngoài những dẫn chất flavon ở dạng glycosid (trên 460 chất) có một số chất ở dạng ester (acetat, benzoat). Người ta còn phân lập cho đến nay khoảng trên 45 dẫn chất flavon ở dạng sulfat. Gốc sulfat thường nối vào vị trí 7 ví dụ apigenin 7-sulfat, lutein 7-sulfat. Có trường hợp disulfat ví dụ luteolin 7,3′ -disulfat. Cũng có trường hợp vừa sulfat vừa glycosid ví dụ luteolin 7 sulfat 3′- glycosid. Các flavon sulfat thường được phân lập dưới dạng muối kali.
Đặc biệt một số dẫn chất flavonoid alcaloid cũng được tìm thấy như ficin và isoficin trong cây Ficus pantoniana (Moraceae) có nhóm N-methyl pyrrolidin đính ở vị trí 8 và 6 của chrysin (Johns và Russel, 1965). Chất Phyllospadin là chất N-methylpyrrolidino flavon thứ ba được tìm thấy trong cỏ biển Phyllospadix iwatensis (Zosteracaeae) (Takagi và cộng sự 1980)
Flavonol (=flavon – 3 – ol). Flavonol kết tinh màu vàng nhạt đến vàng. Những dẫn chất flavonol cũng gặp rất phổ biến trong thực vật. Cho đến năm 1992 đã có 380 chất flavonol có nhóm thế hydroxy và/hoặc methoxy đã được biết. Hai chất flavonol hay gặp trong cây là kaempferol, quercetin, thứ đến là myricetin.
* Chú thích: Sinensitin được phân lập đầu tiên từ vỏ quả Citrus sinensis
Dưới đây là các dẫn chất của 3 chất trên:
Tên chất | Vị trí methyl hoá |
Kaempferol | |
3-O-methyl Rhamnocitrin Kaempferid 7,3′ di-O-methyl 3,7 di-O-methyl | 3 7 4′ 7,3′ 3,7 |
Quercetin | |
3-O-methyl Azaleatin Rhamnetin Isorhamnetin Tamarixetin Caryatin Rhamnazin Ombuin 3,3′ di -O-methyl Ayanin | 3 5 7 3′ 4′ 3,5 7,3′ 7,4′ 3,3′ 3,7,4’ |
Myricetin | |
3-O-methyl 5-O-methyl Europetin Syringetin 3,7,4′ tri-O-methyl Combretol | 3 5 7 3′, 5′ 3,7,4′ 3,7,3′,4′,5′ |
Ngoài kiểu cấu trúc như các chất trên còn có các kiểu cấu trúc khác ít gặp hơn:
· 6- oxy flavonol
· 8-oxy flavonol
· 6,8-dioxy flavonol
· 5-desoxy flavonol
· 2′-oxy flavonol
· flavonol không có oxy trong vòng B
· C-methyl flavonol
· Prenylflavonol
· Pyranoflavonol
· Furanoflavonol
· Flavonol ester (acyl hoá vào vị trí OH ở 3,8,2′,3′,4′ tạo thành acetat, butyrat, angelat, tigliat…).
Khi tạo thành glycosid, mạch đường đa số trường hợp đính vào vị trí 3, có khi 7. Nếu 2 mạch đường thì 3,7; cũng có thể đính vào 4′; 7,4′; 3,4′. Một số flavonol glycosid có mạch đường được acyl hoá. Cho đến hiện nay gần 900 flavonol glycosid đã được biết.
Cũng như trường hợp flavon, flavonol cũng có những dẫn chất sulfat. Cho đến hiện nay có 56 dẫn chất từ mono đến tetrasulfat đã được phát hiện. Chất persicarin có trong rau nghễ – Polygonum hydropiper L. là một ví dụ.
Chalcon. Chalcon có 2 vòng A và B nối với nhau bởi một mạch hở 3 carbon, không có dị vòng C như các flavonoid khác. Chú ý số thứ tự carbon bắt đầu từ vòng B. Đây là những chất có màu vàng đến vàng cam (do chữ Chalcos có nghĩa là đồng). Chalcon có chủ yếu trong một số hoa của họ Cúc – Asteraceae. Để nhận biết chalcon có thể dùng hơi ammoniac hoặc khói kiềm của thuốc lá, màu chuyển sang đỏ cam hay đỏ. Chalcon cũng có thể có trong các bộ phận khác của cây như vỏ, lá, quả, rễ. Một ví dụ điển hình của chalcon là isoliquiritigenin trong rễ cam thảo. Dưới tác dụng của acid thì chalcon có thể chuyển thành flavanon. Khi tạo thành glycosid, phần đường nối vào vị trí 4′ và một số ít ở vị trí 2′.
Dihydrochalcon Những dẫn chất dihydrochalcon ít gặp trong tự nhiên. Có thể lấy ví dụ chất phloridzin (=4,4’6′ trihydroxy 2′-O-glucosyl dihydrochalcon) có trong một loài Malus. Chất này có độc tính, ngăn sự hấp thu glucose ở ruột non và ngăn sự tái hấp thu glucose ở tiểu quản thận. Một số dihydrochalcon có vị rất ngọt ví dụ chất neohesperidosid có vị ngọt gấp 2000 lần đường mía.
Auron. Auron là nhóm flavonoid có màu vàng sáng (auron có nghĩa là vàng kim loại). Khung của auron cũng có 15C như nhưng các flavonoid khác nhưng dị vòng C chỉ có 5 cạnh. Số lượng cũng như sự phân bố trong cây cũng bị hạn chế. Chất auron điển hình là aureusidin gặp phổ biến trong hoa một số họ: Asteraceae, Scrophulariaceae, Plumbaginaceae, Oxalidaceae và ở dạng 4-glucosid hay 6-glucosid.
https://hoibacsy.vn
TÀI LIỆU THAM KHẢO
Ngô Văn Thu (2011), “Bài giảng dược liệu”, tập I. Trường đại học Dược Hà Nội
Phạm Thanh Kỳ (1998), “Bài giảng dược liệu”, tập II. Trường đại học Dược Hà Nội
Đỗ Tất Lợi (2004), “Những cây thuốc và vị thuốc Việt Nam”, Nhà xuất bản Y học
Viện dược liệu (2004), “Cây thuốc và động vật làm thuốc ở Việt Nam”, tập I, Nhà xuất bản khoa hoc kỹ thuật.
Viện Dược liệu (2004), “Cây thuốc và động vật làm thuốc Việt Nam”, tập II, Nhà xuất bản Khoa học kỹ thuật.
























